Головна » Прес-Центр » Статті та публікації » Электроприводная система вентилятора дымососа
15.02.2013
Преимущества применения преобразователей частоты в электроприводных системах дымососов.
В котельных установках находят широкое применение центробежные дымососы одностороннего всасывания типа ДН. Они предназначены для отсасывания дымовых газов из топок котельных агрегатов, оборудованных эффективно действующими системами золоулавливания, а также для отсасывания дымовых газов из топок газомазутных котельных агрегатов.
Дымососы типа ДН рассчитаны на продолжительный режим работы в помещении и на открытом воздухе, однако имеют ряд особенностей с точки зрения внедрения в систему автоматизации котельной.

Для улучшения качества процесса горения, а также регулирования тяги, создаваемой дымососа, часто ставится задача регулирования оборотов асинхронного электродвигателя дымососа. В то же время вышеуказанные особенности существующих приводных систем для дымососов не позволяют решить задачу за счет простой установки регулятора оборотов (преобразователя частоты), а требуют комплексного подхода.
1. Замена устаревшего двигателя серии 4А или 4АМ новым двигателем с высоким классом энергоэффективности (IE2 либо IE3).
Рассмотрим преимущества такого подхода на примере дымососа ДН 13-1500 об/мин со следующими характеристиками:
| Тип двигателя | Мощности двигателя | Потребляемая мощность | КПД при 50% нагрузки | КПД при 75% нагрузки | КПД при 100% нагрузки |
| 4AM250M4 | 90 кВт | 58,3кВт | 92,0% | 92,5% | 92,0% |
Нетрудно посчитать, что при полной потребляемой мощности дымососа с двигателем серии 4АМ КПД двигателя составит порядка 92,3%. При этом из сети будет потребляться электрическая мощность, равная:
![]()
Рассмотрим вариант использования двигателей с классом энергоэффективности IE2 бразильской компании WEG (www.weg.net.ua), у которой КПД для данных мощностей составит 93,9%. Выходная мощность двигателя дымососа при этом не изменится и составит 58,3кВт. В свою очередь электрическая энергия, потребляемая из сети, составит уже:
![]()
то есть на 1,1кВт уменьшится энергопотребление системы.
При решении задачи снижения потерь, за счет использования нового двигателя, одновременно решилась и проблема невозможности использования преобразователя частоты с двигателями с ухудшенной изоляцией. Таким образом, становится возможным переход к следующему возможному действию.
2. Внедрение в систему управления дымососом преобразователя частоты.
Использование преобразователя частоты для двигателя дымососа дает следующие очевидные преимущества:
В то же время особенности работы дымососа требуют не только правильного выбора по мощности преобразователя частоты, но также и правильного конфигурирования под конкретную задачу и использования дополнительных защитных элементов для защиты самого преобразователя частоты.
Неправильное конфигурирование преобразователя частоты для управления двигателями дымососов приводит к его отказу!
Если рассматривать систему управления дымососом, то она предельно проста. Внешний контроллер дает команду на вращение, а также задает скорость по аналоговому входу 0..10В либо 4..20мА. По достижению заданной скорости вращения преобразователь частоты выдает дискретный сигнал на контроллер. И очень часто программист, создающий прикладную программу для контроллера, не учитывает особенностей работы электромеханической системы дымососа, что приводит к ошибкам, авариям и поломке оборудования.
Рассмотрим причины, приводящие к отказу преобразователей частоты двигателей дымососов.
Устранение вышеуказанных причин возможно как за счет дополнительных устройств, так и правильным выбором и настройкой преобразователя частоты.
1. Обрыв аналогового сигнала по скорости.
Рассмотрим способы устранения на примере преобразователя частоты серии ESMDхххL4TXA Lenze (lenze.org.ua). При наличии сигнала разрешения работы преобразователя частоты (на клемме 28 высокий уровень сигнала) и обрыве провода задания скорости (разрыв провода, приходящего на клемму 8) преобразователь стремится затормозить двигатель со временем торможения, выбранном в параметре С13.
Даже при заводской настройке С13=5с (на практике это время уменьшают для более точного поддержания давления внешним ПИД – регулятором) попытка преобразователя затормозить двигатель приводит к выбросу энергии торможения в звено постоянного тока. При этом электролитические конденсаторы подвергаются воздействию почти двукратного номинального напряжения, что приводит к их отказу. Устранение данной проблемы комплексным подходом за счет правильной настройки преобразователя частоты и использования дополнительных средств гашения тормозной энергии.
В первую очередь рекомендуется использовать задание по скорости для преобразователя частоты дымососа в виде аналогового сигнала по току 4..20мА. Дело в том, что обрыв аналогового сигнала по напряжению 0..10В практически невозможно отследить, как как преобразователь не может индицировать разницу между обрывом провода и нулевым сигналом по напряжению с выхода контроллера. В то же время обрыв провода передачи сигнала по току 4..20мА отслеживается проще, так как при обрыве провода ток в цепи станет равным 0мА. При правильной настройке преобразователя частоты, а именно выборе значения конфигурации аналогового входа С34=4 (сигнал 4..20мА с мониторингом) преобразователь частоты запирает все ключи силового инвертора и двигатель дымососа тормозится в свободном выбеге без отдачи энергии торможения в звено постоянного тока. При этом на дисплее преобразователя высвечивается сообщение об ошибке «SdS» и повторный запуск системы возможен только после устранения неисправности.
В случае, если невозможно реализовать контроль обрыва сигнала задания по скорости, преобразователь частоты может быть защищен аппаратно, а именно за счет использования устройств гашения тормозной энергии.
Все устройства гашения тормозной энергии делятся на два типа:
Модули рекуперации используются в приводных задачах крайне редко, так как по стоимости соизмеримы с самими преобразователями частоты. Целесообразным применение модулей рекуперации становится только для преобразователей от 15кВт в установках, работающих с очень частыми и длительными торможениями двигателя.

При этом распределение мощностей осуществляется согласно рисунку:

Применение тормозных резисторов для гашения энергии очень распространено, так как торможения дымососа происходит крайне редко (вентилятор дымососа чаще всего работает в продолжительном режиме S1). Во время торможения кинетическая энергия вращающихся масс вентилятора преобразуется в тепловую энергию, рассеиваемую в тормозных резисторах. Дополнительным преимуществом использования тормозных резисторов в современных преобразователях частоты является то, что тормозной транзисторный ключ для подключения резисторов во многих преобразователях частоты является встроенным.
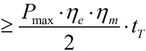
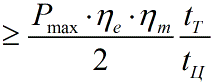
При наличии встроенного тормозного ключа пользователю необходимо подключить лишь резисторы, причем при острой проблеме нехватки финансов, можно использовать не дорогие керамические резисторы от фирм – производителей приводов, а и простые ТЭНы соответствующего сопротивления и рассеиваемой мощности. При этом выбор тормозных резисторов определяется по следующим формулам:
| Требования к тормозным резисторам | Применение | |
| с активной нагрузкой | с пассивной нагрузкой | |
| Постоянная мощность (Вт) | ||
| Теплоемкость (Вт*с) | ||
| Сопротивление (Ом) | ![]() | |
Отметим, что вентилятор дымососа является пассивной нагрузкой (момент нагрузки исчезает при остановленном двигателе).
| UDC(B) | Порог срабатывания тормозного транзистора или тормозного чоппера |
| Pmax(Вт) | Максимальная тормозная мощность, зависящая от типа нагрузки |
| ηе | Электрический КПД (преобразователь + мотор) |
| ηм | Механический КПД (редуктор, механизм) |
| tт(c) | Время торможения |
| tц(c) | Время цикла (tт+ время паузы) |
| Rmin(Ом) | Минимально возможное сопротивление тормозного резистора |
Для дымососов, работающих в длительном режиме с максимальной производительностью (без регулирования скорости вращения двигателя) допустимо увеличивать время торможения. При этом двигатель дымососа не переходит в генераторный режим, а тормозится в двигательном режиме. Такой способ торможения категорически не подходит для систем регулирования температуры или давления, поскольку увеличение времени разгона и торможения ухудшает работу ПИД – регуляторов технологических параметров.
В современных многофункциональных преобразователях частоты имеется еще один вид защиты преобразователя частоты – контроль напряжения звена постоянного тока.
На примере преобразователя частоты производства бразильской компании WEG CFW11 (weg.net.ua) рассмотрим систему регулирования напряжения в звене постоянного тока:
Здесь параметр Р0151 — заданный уровень напряжения в звене постоянного тока (определяется допустимым питающим напряжением для преобразователя); Р0152 – коэффициент усиления П – регулятора напряжения (определяет реакцию на изменение напряжения в звене постоянного тока).
Существует три основных подхода к регулированию напряжения в звене постоянного тока:
Второй и третий подход возможны только при включенном регуляторе напряжения, при этом логика работы преобразователя при замедлении определяется параметром Р150.
Диаграмма работы преобразователя частоты в режиме торможения для первого случая (регулятор напряжения отключен):
В случае возникновения такой ситуации повторный запуск преобразователя возможен только после сброса ошибки оператором.
Диаграмма работы преобразователя частоты в режиме торможения во втором случае (регулятор напряжения включен, Р0150=0):
Диаграмма работы преобразователя частоты в режиме торможения в третьем случае (регулятор напряжения включен, Р0150=1):
Следует отметить, что стоимость таких преобразователей в ряде случаев превышает стоимость простых преобразователей частоты, укомплектованных тормозными резисторами. Поэтому, использование такого преобразователя в основном определяется габаритными показателями оборудования, а также возможностью установки тепловыделяющих элементов (тормозных резисторов) в непосредственной близости от шкафа управления.
2. Раскручивание двигателя вентилятора дымососа за счет тяги вентилятора наддува.
Если двигатель дымососа раскручен внешней тягой, то при подаче команды пуска имеет место значительное превышение тока, обусловленное расхождением скоростей вращения электромагнитного поля и реальной скорости вращения. Для исключения такой ситуации перед разгоном двигателя дымососа до рабочей скорости его необходимо затормозить.
Одним из простейших способов торможения вала двигателя без использования приводных элементов (муфты, тормоза) является динамическое торможение. При таком способе остановки с помощью преобразователя частоты в обмотках асинхронного двигателя дымососа подается постоянный ток, создающий тормозной момент. При использовании преобразователя частоты в момент подачи команды торможения открываются два транзистора разных плеч инвертора в режиме ШИМ, формируя необходимое значение постоянного тока Iт в обмотках двигателя (на рисунке ниже приведен пример с работой транзисторов VT1 и VT4).
При этом диаграмма изменения напряжения, действующего значения тока торможения, а также состояний транзисторов инвертора имеет вид:
В зависимости от значения параметра преобразователя, определяющего величину момента двигателя при торможении, меняется скважность импульсов, то есть соотношение t1/T, где Т – период ШИМ; t1 – время открытого состояния транзистора VT1.
Следует помнить, что в режиме динамического торможения при увеличении скорости вращения вала двигателя растет тормозной момент, однако увеличиваются и токи, протекающие в обмотках двигателя.
На примере преобразователей частоты серии ESV Lenze рассмотрим параметры, определяющие настройку функции динамического торможения в современных преобразователях частоты:
| № параметра | Описание | Значение |
| Р110 | Способ пуска двигателя | 2 – Пуск с торможением постоянным током |
При активации такого способа пуска перед подачей переменного напряжения на двигатель, преобразователь частоты включает динамическое торможение, в соответствии с параметрами Р174,Р175. Данную функцию необходимо включать при использовании преобразователей частоты с двигателями дымососов для исключения влияния раскручивания тягой других вентиляторов.
| Р111 | Способ останова двигателя | 1 – Самовыбег с торможением постоянным током;
3 – По заданной траектории с торможением постоянным током. |
При любом из выбранных способов торможения для фиксации вала двигателя в обмотки подается постоянный ток, определяемый параметрами Р174, Р175.
| Р121..124 | Функция дискретного входа 1..4 | 18 – торможение постоянным током |
При подаче сигнала на дискретный вход активируется динамическое торможение. Этот параметр позволяет управлять торможением с внешнего контроллера.
| Р174 | Напряжение торможения постоянным током | Устанавливается в диапазоне:
0..30% от номинального напряжения звена постоянного тока преобразователя |
| Р175 | Время торможение постоянным током | Определяется временем, необходимым для остановки двигателя при раскручивании тягой либо фиксации вала после замедления |
Таким образом, можно окончательно сформулировать следующие рекомендации по модернизации и правильном вводе в эксплуатацию электрооборудования для дымососов: